Contoh Himpunan Grup

Contoh grup, contoh himpunan penyelesaian pertidaksamaan linear, contoh himpunan bagian, contoh himpunan dalam kehidupan sehari hari, contoh himpunan dan bukan himpunan, contoh himpunan semesta, contoh himpunan kuasa, contoh himpunan buah buahan, 5 contoh himpunan kosong, contoh himpunan matematika, 10 contoh himpunan,



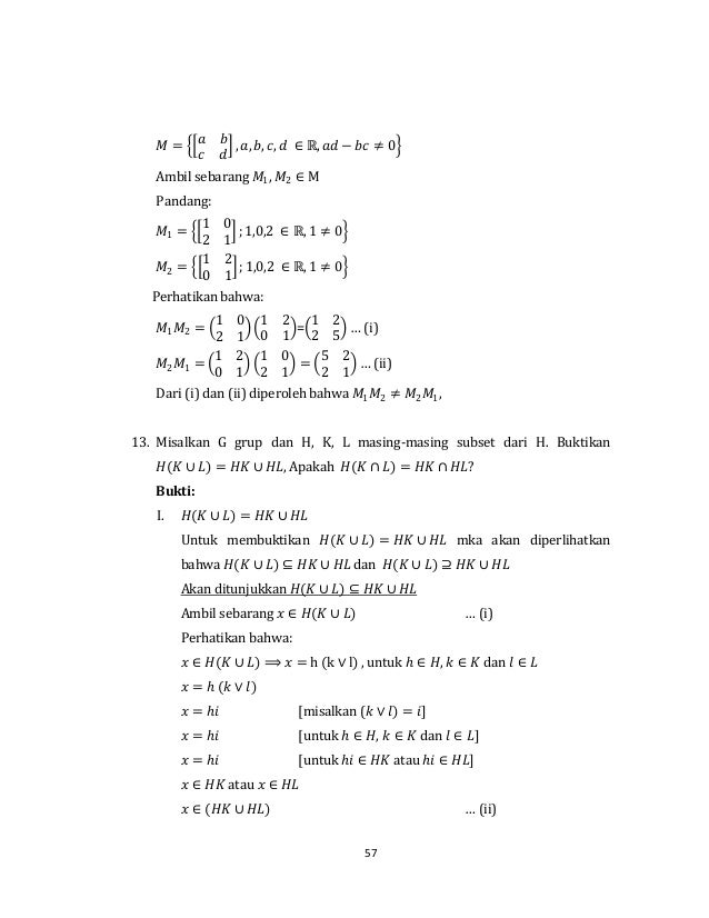
Teori Group
Teori Group via www.slideshare.net


Grup siklik
Grup Siklik via www.slideshare.net


Grup siklik
Grup Siklik via www.slideshare.net


13 Contoh Surat Pernyataan Kerja, Kesanggupan, Perjanjian
13 Contoh Surat Pernyataan Kerja, Kesanggupan, Perjanjian via sharingkali.com


Tempat-Tempat Mencari Lowongan Kerja Penerjemah Bahasa
Tempat-tempat Mencari Lowongan Kerja Penerjemah Bahasa via www.tarjiem.com


Contoh Normalisasi Database,dan ERD ~ Linbub
Contoh Normalisasi Database,dan Erd ~ Linbub via linbub.blogspot.com


Normalisasi Kwitansi  Pengetahuan Umum Informasi
Normalisasi Kwitansi Pengetahuan Umum Informasi via dewinurlisa.wordpress.com


Kerja kelompok divisi pengawasan dan hubungan antar
Kerja Kelompok Divisi Pengawasan Dan Hubungan Antar via www.slideshare.net


Membumikan Himpunan Alumni IPB via media sosial
Membumikan Himpunan Alumni Ipb Via Media Sosial via www.slideshare.net


PUNGSAN itu VEBRY: DATA MODEL
Pungsan Itu Vebry: Data Model via vebry-pungsan.blogspot.com


Tia Permana  LinkedIn
Tia Permana Linkedin via id.linkedin.com


Muhamad Arif  LinkedIn
Muhamad Arif Linkedin via id.linkedin.com


Random Image


Related Posts To Contoh Himpunan Grup


Contoh Himpunan Grup Rating: 4.5 Posted by: Jariakono

Search Here

Popular Posts

Total Pageviews

Recent Posts